Page 32 - Demo
P. 32
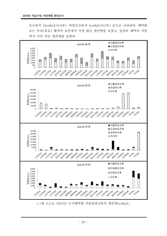
2024%ub144 %ub9c8%uc744%uc5b4%uc7a5 %uc790%uc6d0%uc0dd%ud0dc %ud658%uacbd%uc870%uc0ac- 21 -%ubaa8%uc870%ub958%uac00 19cells/L(0.9%), %uc640%ud3b8%ubaa8%uc870%ub958%uac00 4cells/L(0.2%) %uc21c%uc73c%ub85c %ub098%ud0c0%ub0ac%ub2e4 %ud574%uc5ed%ubcc4 . %ub85c%ub294 %ucd94%uc790( ) %ud6c4%ud3ec %ud574%uc5ed%uc758 %ud45c%uce35%uc5d0%uc11c %uac00%uc7a5 %ub9ce%uc740 %ud604%uc874%ub7c9%uc744 %ubcf4%uc600%uace0 %uc77c%uacfc%ub9ac %ud574%uc5ed%uc758 %uc800 , %uce35%uc5d0%uc11c %uac00%uc7a5 %uc801%uc740 %ud604%uc874%ub7c9%uc744 %ubcf4%uc600%ub2e4.( 3.2.4) 2024 %uadf8%ub9bc %ub144 %uc870%uc0ac%ud574%uc5ed%ubcc4 %uc2dd%ubb3c%ud50c%ub791%ud06c%ud1a4%uc758 %ud604%uc874%ub7c9(cells/L)2024 %ub144%ub4f1 n.ooooooooooooooooo q9sD.59 4mm2i11 %u00b7%uadec%uc808%ud3b8%ubaa8%uc870= %u53e3%uaddc%uc870%ud734 ,fr,,,_,;,;.~ ......... -%u00bb-

